目录
第二节 销售
一、农村销售
1953年实行粮食统购统销,1955年实行粮食三定(定产、定购、定销),大多数粮农口粮都自给有余,对少数缺粮农户(棉农、菜农、茶林山区和受灾农民)实行统销,供应口粮。
灾区粮食供应:1954年特大水灾,国家安排计划调进14309.5万公斤粮食供应灾民。1969年和1983年内涝严重,国家共回销粮食14906.5万公斤。
棉农供应:由于棉田面积不断扩大,棉农口粮供应量逐年增加,1963年棉田面积为60000亩,1965年为124314亩,至1980年,增长到136693亩。1979年,对棉花集中产区,实行粮棉五定(定面积、定自产粮、定口粮标准、定人口、定销)办法,口粮标准按年度计算,完成皮棉统购任务,亩售40公斤以上的队,每人口粮为275公斤;亩售量超过60公斤的,口粮可吃到290公斤;虽然完成皮棉统购任务,但亩售量在40公斤以下的,口粮为260公斤;完不成的,口粮标准为240公斤。1981年实行口粮定销包干。1982年定销:棉农人口21.3万人,供应口粮指标3249万公斤,至1988年,7年共供应19803万公斤,平均每年供应2829万公斤。
城区菜农人口粮食供应,按人按月分等定量供应。茶林山区下达指标,核证到户供应。
二、城镇供应
解放初期,国营粮食部门及粮商均向城镇居民销售粮食,自由买卖。1953年实行统购统销,11月份开始对城镇居民实行计划供应,对行业用粮,先编计划,然后会同税务部门掌握需要与可能,核定数量供应。居民口粮凭粮食部门核定的粮油证明单或介绍信供应。1955年11月起,居民凭粮食部门按计划发放的粮票供应,行业用粮由粮食部门核定购粮通知书定点供应。1956年9月起对非农业人口实行分等定量供应,口粮定量标准分11个等级22个标准,最高定量是特重体力劳动,每月定量27.5公斤,最低是居民,定量为13.5公斤,10岁以下儿童按年龄分等定量;食油供应每人每月0.125公斤,后改为0.25公斤。
1960年6月增加社属粮食供应,此粮食来源于公社,减少统购任务单独收购的,供应下放人员、社办工业和农转非人口,是年供应45841人,月核定粮食602518公斤。1962年取消社属粮食供应,由国家实行四统一(收购、销售、调拨、储存)。
三、议价销售
粮油议购议销,纯属经营性质的粮油购销业务,必须在完成国家下达的统购、定购任务以后才能进行,价格是买卖双方面议,有高有低,有赔有赚,随行就市,自由买卖。
1963年至1966年,由粮食部门组成交易市场,进行余缺调剂,农民多余粮食可以拿到市场出售,也可按议价卖给粮站,粮站收下后,又按议价销售,但不准私人经营粮食。粮站在市场收购的仪价粮,主要供应饮食行业作食品、计划外的工业用粮以及缺粮群众等,4年共收购议价粮食2961万公斤,议价销售粮食887.5万公斤。
1980年3月,县粮食局成立粮油议价股,1982年12月成立粮油饼肥议价服务公司,1984年4月改称为安徽省无为县粮油议购议销公司,专门从事粮油议购议销活动,组织人员前往全国各地推销粮食。1985年至1988年调出和销售议价粮食22652.5万公斤,油脂1187.5万公斤。
四、销售价格
自1953年以来,粮油统购价几次提高,但统销价提高幅度不大。为保障民生,国家对粮食价格亏损实行补贴:(1)粮油价格调整后,出现倒挂,致使粮食部门亏损,国家财政拨款补贴,保持粮油价格稳定。(2)1966年8月粮食统销价提高,增加了职工生活负担,国家对职工及其赡养人口给以适当补贴(每人每月补贴0.90元)。
农村供应销售价格,1953年实行统购统销时,农村销售按统销价。1961年提高统购价,粮价出现倒挂,为减少财政补贴,1963年改为统购价供应。1985年改为定购价供应。
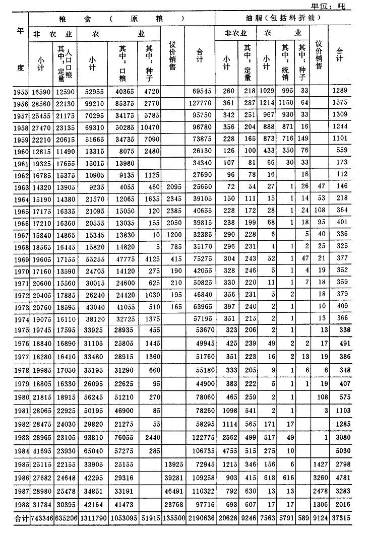
1955年至1988年共销售粮食219063.6万公斤,油脂(包括料折油)3731.5万公斤。
无为县粮食部门粮油销售实绩表

1953年实行粮食统购统销,1955年实行粮食三定(定产、定购、定销),大多数粮农口粮都自给有余,对少数缺粮农户(棉农、菜农、茶林山区和受灾农民)实行统销,供应口粮。
灾区粮食供应:1954年特大水灾,国家安排计划调进14309.5万公斤粮食供应灾民。1969年和1983年内涝严重,国家共回销粮食14906.5万公斤。
棉农供应:由于棉田面积不断扩大,棉农口粮供应量逐年增加,1963年棉田面积为60000亩,1965年为124314亩,至1980年,增长到136693亩。1979年,对棉花集中产区,实行粮棉五定(定面积、定自产粮、定口粮标准、定人口、定销)办法,口粮标准按年度计算,完成皮棉统购任务,亩售40公斤以上的队,每人口粮为275公斤;亩售量超过60公斤的,口粮可吃到290公斤;虽然完成皮棉统购任务,但亩售量在40公斤以下的,口粮为260公斤;完不成的,口粮标准为240公斤。1981年实行口粮定销包干。1982年定销:棉农人口21.3万人,供应口粮指标3249万公斤,至1988年,7年共供应19803万公斤,平均每年供应2829万公斤。
城区菜农人口粮食供应,按人按月分等定量供应。茶林山区下达指标,核证到户供应。
二、城镇供应
解放初期,国营粮食部门及粮商均向城镇居民销售粮食,自由买卖。1953年实行统购统销,11月份开始对城镇居民实行计划供应,对行业用粮,先编计划,然后会同税务部门掌握需要与可能,核定数量供应。居民口粮凭粮食部门核定的粮油证明单或介绍信供应。1955年11月起,居民凭粮食部门按计划发放的粮票供应,行业用粮由粮食部门核定购粮通知书定点供应。1956年9月起对非农业人口实行分等定量供应,口粮定量标准分11个等级22个标准,最高定量是特重体力劳动,每月定量27.5公斤,最低是居民,定量为13.5公斤,10岁以下儿童按年龄分等定量;食油供应每人每月0.125公斤,后改为0.25公斤。
1960年6月增加社属粮食供应,此粮食来源于公社,减少统购任务单独收购的,供应下放人员、社办工业和农转非人口,是年供应45841人,月核定粮食602518公斤。1962年取消社属粮食供应,由国家实行四统一(收购、销售、调拨、储存)。
三、议价销售
粮油议购议销,纯属经营性质的粮油购销业务,必须在完成国家下达的统购、定购任务以后才能进行,价格是买卖双方面议,有高有低,有赔有赚,随行就市,自由买卖。
1963年至1966年,由粮食部门组成交易市场,进行余缺调剂,农民多余粮食可以拿到市场出售,也可按议价卖给粮站,粮站收下后,又按议价销售,但不准私人经营粮食。粮站在市场收购的仪价粮,主要供应饮食行业作食品、计划外的工业用粮以及缺粮群众等,4年共收购议价粮食2961万公斤,议价销售粮食887.5万公斤。
1980年3月,县粮食局成立粮油议价股,1982年12月成立粮油饼肥议价服务公司,1984年4月改称为安徽省无为县粮油议购议销公司,专门从事粮油议购议销活动,组织人员前往全国各地推销粮食。1985年至1988年调出和销售议价粮食22652.5万公斤,油脂1187.5万公斤。
四、销售价格
自1953年以来,粮油统购价几次提高,但统销价提高幅度不大。为保障民生,国家对粮食价格亏损实行补贴:(1)粮油价格调整后,出现倒挂,致使粮食部门亏损,国家财政拨款补贴,保持粮油价格稳定。(2)1966年8月粮食统销价提高,增加了职工生活负担,国家对职工及其赡养人口给以适当补贴(每人每月补贴0.90元)。
农村供应销售价格,1953年实行统购统销时,农村销售按统销价。1961年提高统购价,粮价出现倒挂,为减少财政补贴,1963年改为统购价供应。1985年改为定购价供应。
1955年至1988年共销售粮食219063.6万公斤,油脂(包括料折油)3731.5万公斤。
无为县粮食部门粮油销售实绩表


