一、客运
客运工具始于木帆船。随着历史的进程逐步形成舱位分等,实行搭船、包船、包舱3种,并因气候及客流量不定等原因,不能定期开航,此状沿袭甚久。清同治十年(1871),芜湖始有轮船客运,每周有航班3个。清同治十二年(1873)七月,官督商办的轮船招商局“永宁”号轮,首航申汉线,由芜湖行栈办理过芜客运业务。清光绪二十四年,(1898),商办芜湖立生祥小轮公司,首辟芜湖至巢县、庐州定期客运航线,沿途设9个营业售票处。此为地方轮船客运之始。此后,芜湖轮运业相继兴起,营运航线逐渐向长江、内河延伸扩展。迄至清末(1911),以芜湖为起迄点的轮船客运航线有16条,长1691公里(另有轮运起迄点不在芜湖的航线4条,长392公里)。溯江而上,直抵九江,下达南京;循青弋江、裕溪河,通达宣城、郎溪、宁国、巢县、合肥。逐步取代了木帆船的客运。
民国时期,芜湖轮船客运,益臻兴盛,先后增辟江、河航线10条,长648公里。民国二十三年(1934),由芜湖始发的客运航线达26条,长2339公里。另有起迄点不在芜湖的营运航线18条,长1359公里。抗日战争期间,日军侵占芜湖港口,垄断航运。抗战胜利后,原有航线,相继复航,轮运出现繁荣。嗣因战乱,军、警干预,公差捐费,摊派频繁,不胜重负,致使多数破产、歇业,解放前夕维持通航的仅有芜湖至安庆、大通、南京、巢县、无为、南陵、宣城、西河及当途至宣城、至东坝10条航线。客运里程仅979公里。
1949年4月,芜湖解放后,市军管会组织船舶,恢复客运,选派轮、木船20余艘,运送人民解放军向西南进军。年末累计,运送部队35015人次。另遣送战俘28950人次。1952年,长江、内河航线,全部恢复通航;各条航线,实行定船、定班次、定停靠点、定开航时间;每逢年、节、假期和运送入伍新兵,均增加船只、班次。1951年和1955年,芜湖港务局、芜湖内河局,在江岸路各建旅客候船室1座;内设售票房、行李(小件)寄存处、广播室、问讯处、母婴室、茶水供应处及小卖部;开展电话订票、送票上门等服务。1965年12月,长江航运公司芜湖分公司实行区间船舶免收粮票供应旅客餐饭。1971年,在中江路西端(客运码头处)续建候船大厅兼容运站大楼1幢,面积2800平方米。1980年9月30日起,调整芜湖至荻港、西梁山,马鞍山至金河口,安庆至石牌4条航线的运行时间,实行船在小港站停靠过夜,早晨启航,中午或下午返航,便利旅客当天往返。仅芜湖至荻港、西梁山2线运行统计,月客运量增加3万人次。提高了社会、经济效益。1985年,芜湖市水运企业经营的江河航线达22条,里程1639公里,每天发出、到达的客运航班85次(含旅客过江轮渡40班次)。
民国二十三年(1934)芜湖轮船客运航线表
表15

1985年芜湖水运企业经营客运航线表
表16

1949~1985年客运量统计表
表17

二、贷运
1、江河运输
大宗货物的水上运输,始于漕运。唐宋时期,江淮漕粮,多由青弋江、裕溪河运集芜湖,转运北上。明代,芜湖出现粮、盐对流运输,皖南诸县的食盐,均经芜湖转运。清代,芜湖为全国“四大米市”之一,来自湘、赣等省及皖南、北的商品粮,经芜湖加工销售,或换船转运广州、厦门、汕头、天津、威海卫、青岛、烟台、宁波、南通、上海、南京等地。清光绪三十一年(1905),芜湖出口稻、米达8438093担,杂粮255469担。由于轮船具有载(拖)量大、航速快等优点,长江干流运输,客商多选择轮运;内河支流运输,皆以木船集散中转,形成轮、木船结合的运输格局。民国年间,淮南、山西煤炭经铁路运抵裕溪口,转船水运上海、南通、九江、黄石等地。同时,省内外的木材、茶叶、茧丝、羽毛等,多在芜湖集中外运。
1949年4月,芜湖解放,市军管会组织船舶运送军需物资50857吨,支援人民解放军进军西南。同时,为缓解芜湖、上海两地的生产、生活用煤,以木船从淮南九龙岗运煤至裕溪口(时淮南铁路尚未修复),并采用轮、木船结合拖运和换船运输,分别为芜湖运12万吨,上海运18万吨。
新中国成立初期,水上货运以粮、煤两大货种为主。随着工业生产和城市建设的发展,金属和非金属矿石及建筑材料的运量逐步上升,货源趋向化肥、农药、石油等多货种发展。1951年,长江航务管理局芜湖办事处以“国海”号拖轮(300马力)试行一列式拖带法,从裕溪口至上海,下水每匹马力牵引5吨,每月往返航行3次,提高拖带量1倍以上(原每匹马力牵引2吨左右,每月航行3个单程)。翌年,“国海”轮每匹马力牵引达7.7吨,创长江全线拖轮下水拖带量的最高纪录。1953年10月,芜湖内河轮船公司,推广一列式拖带法,拖带量比原来多排并拖,提高57%。同年12月,新辟贵池县梅埂至南京(228公里)的黄砂专运线,与江苏省建工局签订了年运黄砂10.4万吨的运输合同。从此,黄砂成为芜湖水运的大宗货种之一。1955年10月,芜湖至合肥(180公里)、芜湖至安庆(204公里)2条航线,实行定期货班后,货运量增长20.4%。1960年,为确保矿石、煤炭、建材等重点物资运输,芜湖内河航运管理局牵头组织港口、铁路、矿山等部门,开展定船、定线、定点、定货种、定港口、定人员的“六定”大协作运输(时称“一条龙”运输)。专运航线、货种有:荻港至裕溪口及钟山、姑山至马鞍山的矿石;贵池至马鞍山的黄砂;麻铺桥至马鞍山的石灰石;裕溪口至铜陵的煤炭。投入“六定”运输的船舶,占总运力的85%,计划准确性达到90%以上。1965年8月,长江轮船公司芜湖分公司,根据货物流量、流向变化及干、支流货源不平衡的特点,调整了区间范围内的(九江至南京)运输,辟裕溪口至马鞍山(33公里)的煤炭;荻港至马鞍山(97公里)的矿石;梅埂至南京(228公里)的黄砂;裕溪口至南陵(88公里)的粮食;裕溪口至宣城(1l2公里)的粮食;姑山至马鞍山(34公里)的矿石;芜湖至安庆(204公里)的油料;安庆至铜陵至南京(300公里)的粮食、铜精砂;裕溪口至四褐山(7公里)的煤炭等9条专用航线,里程1103公里。同时,对农用物资及农、副产品的运输,实行托运、计划安排、配载、调派运力、装卸作业和换装(拖)等6个优先。简化运输手续,不分长江、内河,一次托运,一票到底。1984年10月,为开拓货源,疏通产、运、销渠道,又增辟池州至苏州的黄砂;铜陵至苏州的矿粉、铁矿石;湾至无锡和湾至如东县、扬州市的黄砂;荻港至如东的石料等5条跨区的货运航线,扩大了运输辐射面,提高了社会、经济效益。
在调整航线期间,先后推广使用成组运输,分节驳运输等两种先进运输方式。1972年3月,芜湖港务局首次推广成组运输,以特制的钢丝网络或棕绳网络等专用工具,将散货兜装,通过装卸机械进行装船或卸船。1973年,全年完成矿石、磷肥、木材、钢材、食盐等成组运输的装卸量达170194吨。翌年,在芜湖、裕溪口两地,新建500和300平方米的成组运输仓库各1幢,添置了配套的集装专用工具,成组运输更加完备。1980年2月,长江航运管理局芜湖分局,(今芜湖长江轮船公司)以千吨级甲板驳6艘,组建成组运输船队,装载生铁、钢材、木材、矿石、水泥、化肥等,先后运行8条航线(含马鞍山至上海跨区航线1条)。翌年,长江航运管理局颁发《成组运输管理办法》,配给芜湖钢丝网络6100只,尼龙网络1000只,棕绳网络1000只,钢扣1162根,水泥货盘1528块等专用工具。自1980~1983年,成组运输共运各种货物288.3万吨。运量年均增长率为10.8%,装卸效率提高3.7倍。船舶停港时间,由2.5天缩短为1.2天。1983年10月,芜湖港务局在成组运输基础上,筹办集装箱运输。翌年4月19日,芜湖第一艘集装箱(5吨)运输船驶往安庆。6月10日,由蚌埠经裕溪口转安庆的玻璃集装箱铁、水联运试航成功,为建设朱家桥集装箱运输码头(三期工程)积累了经验。
分节驳运输(亦称“顶推运输”)始于1978年,首由皖江轮船运输公司和长江航运管理局芜湖分局实行。翌年,长江航运管理局芜湖分局相继推广,驳船队型采用燕子式和多排式,一次顶推4艘节驳。1981年,以400匹马力的长江464号拖轮一次顶推1组6艘节驳,从芜湖试航至镇江。此后,由顶推一组6~8艘,发展到顶推二组12~16艘。1982年末,分节驳运输船有84艘、7万余吨位,占驳船总吨位的38.5%。1983年完成的货运量由1980年的49.6万吨上升到126.8万吨,提高1.55倍;营运收入由1980年的99.8万元增达214万元,提高1.14倍。
党的十一届三中全会后,芜湖市(含市辖县)个体水运专业户(联户)发展很快,截止1985年客货运输船舶,由1984年的2055艘增加到2841艘(含客运轮驳船12艘),货运轮驳船2829艘,96800吨位,年货运量12.51万吨,56249.43万吨公里。
2、远洋运输
1980年2月,芜湖港务局为发挥港口水深的优势,适应出口物资品种多的形势,开始筹办外贸运输,定江岸路港区十一号码头为海轮靠泊点。4月5日,上海海兴轮船公司5000吨级的“泰山”号货轮抵芜,为香港装运五羊牌水泥4083吨,江岸路港区以62小时完成装船任务,并达到标签朝上、堆码整齐、无破散包进舱的质量标准。4月10日,举行首航仪式,侯永副省长为其剪彩,新华社、安徽日报社、芜湖日报社、长江航运报、省、市广播电台及香港大公报、文汇报、天天日报等新闻单位派记者参加仪式采访、报道。1982年5月22日,上海海运局11700吨级的“振兴”号远洋货轮,从芜湖装载1万吨水泥和125吨杂货直航香港。此为芜湖港靠泊万吨级货轮之始。1983年3月,安徽省远洋运输公司,货轮4艘以芜湖港为基地,经营国际航线,先后在芜湖、安庆两港载运水泥、钢铁、粮食、石油、棉纱、棉籽、羽绒、杂货等航驶香港、新加坡、日本、朝鲜、苏联及东南亚等国家和地区。继后,又开办了芜湖至香港定期航班。迄至1985年末,计有62艘次远洋货轮,由芜湖港运出外贸物资62.91万吨。物资品种由1980年的59种递增到109种。
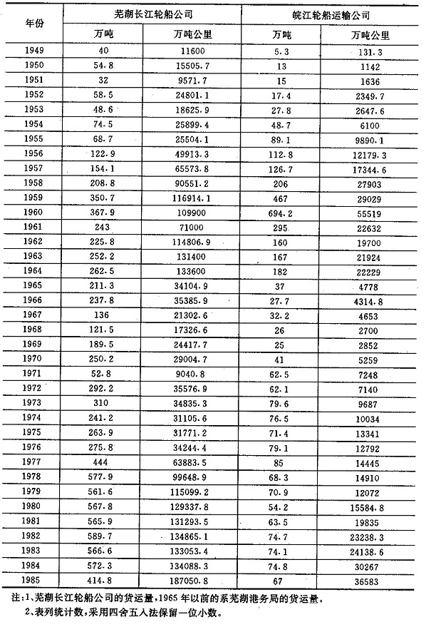
1949~1985年货物运输量统计表
表18