今天是

第一章 进出口贸易

第一节 出口商品收购

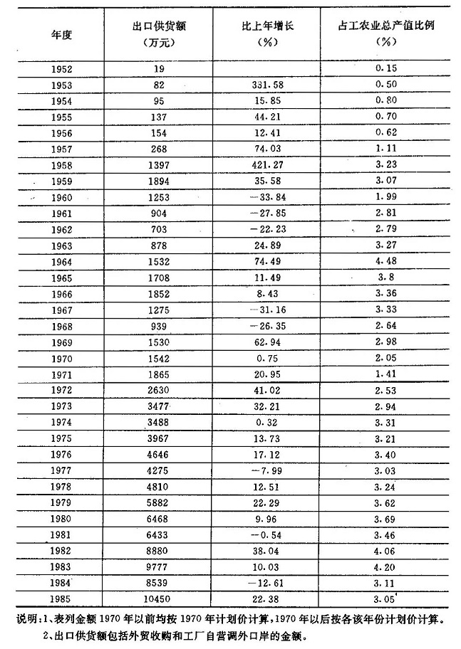
初解放时的芜湖,市场混乱,经济衰微。人民政府接管以后,治理通货膨胀,恢复发展生产,并没收了外国洋行财产,清除了帝国主义经济侵略的残余。农副产品购销,始由皖南贸易公司经营,供销合作社以及私商小贩亦经营购销业务。1950年3月,皖南人民行政公署第四次贸易会议决定“改组皖南贸易公司,成立各专业公司。”内外贸业务从此初步分工,其中畜产、茶叶公司以经营外贸业务为主,兼营国内贸易,皮毛、猪鬃等畜产品,由芜湖皮毛公司和猪鬃办事处收购,调往省外加工出口。1952年芜湖畜产公司首次收购成品猪鬃480箱,乃是出口商品收购的开端。茶叶这一大宗出口商品,由皖南茶叶公司委托各县供销社收购,调各茶厂加工。芜湖茶厂于1953年开始加工出口。第一个五年计划末期,经过“一化三改造”“一化三改造”--即实现国家工业化,对农业、手工业和资本主义工商业的社会主义改造。的伟大变革,芜湖市的商品经济得到初步发展,至1957年外贸出口产品品种增加到近十种,其中茶叶、冻家禽由加工单位直接调拨;羽毛等畜产品由畜产公司收购;羽绒被 、水瓶胆、铁画、花漆筷、羽毛扇等轻手工业品,由芜湖百货站收购。1957年出口供货268万元,比1952年增长13倍,平均每年递增69%。
第二个五年计划及三年国民经济调整时期。出口供货额大起大落。1958年,外贸部门提出大进大出的口号,千方百计扩大出口资源。已往出口的老品种大幅度增长,如绿茶1957年加工出口6320担,1958年增长到20237担,1959年增长到28852担,皮鞋、水瓶(竹壳)、床单、毛巾等新品种投入外销。当年出口供货额上升到1397万元,比1957年猛增4.2倍。1959年又继续上升36%。由于增长过快,部分产品质量不符合出口标准,绿茶有若干批量不得不进行返工整理,床单、羽毛扇有部分改为内销。从1960年起,由于遭受自然灾害,农产品歉收,工业生产原料不足,出口供货额连续三年大幅度下降,至1962年降到仅及1959年的37%。1962年成立芜湖市外贸公司,原由百货站收购的出口工业品交外贸公司统一经营,在收购农副土畜产品时,按交售金额奖售粮、布、糖、香烟、自行车、搪瓷面盆等生活日用品予以鼓励,出口供货额从1963年开始回升,至1965年恢复到1708万元,比1957年增长5.4倍,平均每年递增26%。
1966年下半年,工农业生产停滞,出口货源减少,外贸收购出口又呈下降趋势,1967年的出口供货额比1966年下降31%,1968年比1967年又下降26%。在此困难时刻,周恩来总理于1971年亲自抓外贸工作,省、市革命委员会各有一位领导同志分管外贸出口。芜湖各出口企业亦有一名副主任(副厂长)管外贸生产。市革命委员会(市政府)每年召开1-3次外贸工作会议,安排落实外贸计划,研究解决存在问题,外贸出口又有了新的起色。1973年出口供货额达到3477万元,比1968年增长2.7倍,出口商品的范围由轻工业品扩大到重工业品,并创出一批质量过得硬的产品。1973年秋季广州交易会期间,日本商人盛赞芜湖园林工具厂生产的黄山牌剪枝剪“不但可以剪木而且可以剪铁”,并要求订货。天津市机械进出口公司为此于1974年1月在芜湖召开四省一市出口剪枝剪统一质量标准现场会议。当年果树工具出口数量由头一年的1.32万件增加到9.35万件。1975年,外贸出口又陷于停顿徘徊状态。1978年出口供货额达到4810万元,比“文化大革命”开始的1966年增长1.6倍,平均每年递增8.2%。
中共十一届三中全会以后,外贸工作进入新的发展时期,在改革开放的方针政策指导下,外贸部门提出“外贸工作要有一个较大的发展”。工业生产部门为了搞活经济,搞出口的积极性也很高,不少工厂都认为搞出口既可扩大生产,又可创取外汇,是一项光荣而有利的任务。工贸两方共同努力,外贸生产稳步发展。出口供货额持续上升。1979年比1978年上升22.29%,1983年达到9777万元,1984年全国性的压缩外贸亏损,各口岸公司对出口商品价格控制很紧,凡价格降不下来的高亏商品停止收购出口,一度出现“外销不如内销”的倾向。经采取鼓励出口的政策,运用经济杠杆的调节作用,同时搞好服务工作,理顺产、购、销(出口)关系,出口供货额1985年突破1亿元。
1952年-1985年出口供货额增长情况表
表1


上一篇:引子
下一篇:第二节 商品调拨外销
平台声明

平台收录的姓氏家族文化资料、名人介绍,各地方志文献,历史文献、农业科技、公共特产、旅游等相关文章信息、图片均来自历史文献资料、用户提供以及网络采集。如有侵权或争议,请将所属内容正确修改方案及版权归属证明等相关资料发送至平台邮箱zuxun100@163.com。平台客服在证实确切情况后第一时间修改、纠正或移除所争议的文章链接。

族讯首页

姓氏文化

家谱搜索

个人中心